
인천 검단 신도시에서 제일 풍경채 3차가 분양을 시작합니다. 요즘 분양시장의 분위기가 좋지 않지만 지난 9일 막을 내린 검단 중흥 S클래스가 약 38대 1의 성적을 보여서 이번 건은 어찌 될지 귀추가 주목됩니다. 기존 당첨자도 유주택자도 1순위로 청약 가능합니다. 일정과 예산 잘 헤아려보시고 판단하시기 바랍니다.
검단 제일풍경채 3차 공급내역
● 위치 : 인천 서구 불로동 검단신도시 AB20-1 블록
● 규모 : 지하 2층, 지상 29층. 8개 동 총 610세대 중 일반공급 227세대
● 평형정보 : 84타입, 115 타입
● 입주예정 : 2026년 10월 예정
● 비투기과열지구, 비청약과열지역
● 전매제한 3년
● 거주 의무 기간 없음
총 610세대 일반공급은 227세대대로 평형별로는 84 타입이 113세대, 115 타입은 114세대입니다.
제일풍경채 3차가 들어서는 지역은 비투기 과열지구이며, 비청약과열지역 입니다. 전매제한은 3년이며 거주 의무기간은 없습니다.
검단 제일풍경채 3차 분양일정
검단 제일풍경채 3차의 일반 공급은 1월 23일(화) 청약홈에서 청약하실 수 있습니다. 당첨자는 1월 30일 청약홈 홈페이지에서 확인하실 수 있습니다. 전매제한은 3년이지만 거주 의무기간은 없으며, 기존 당첨자로 청약이 가능합니다.
● 1순위 : 1월 23일(화)
● 2순위 : 1월 24일(수)
● 당첨자 발효 : 1월 30일(화) 청약 홈에서 확인 가능
● 서류접수 : 2월 2일(금) - 8일(목)
청약은 청약홈 인터넷 홈페이지에서 가능합니다. 청약 전 미리 개인 인증 후 신청하시기 바랍니다.
<1순위 청약 전 Check Point>
● 인천 또는 수도권(서울, 경기)에 거주하는 만 19세 이상(세대주, 세대원 모두 가능)
● 청약통장 가입 12개월 이상으로 지역별 면적별 예치금액 이상인 경우
● 유주택자도 조건이 맞으면 1순위 가능. 주택수 무관
● 재당첨 여부 무관(과거 가점제 당첨자는 추첨제 청약 가능)
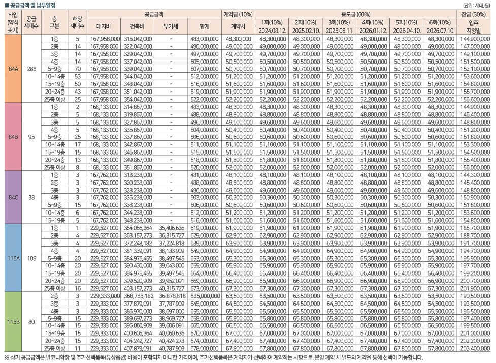
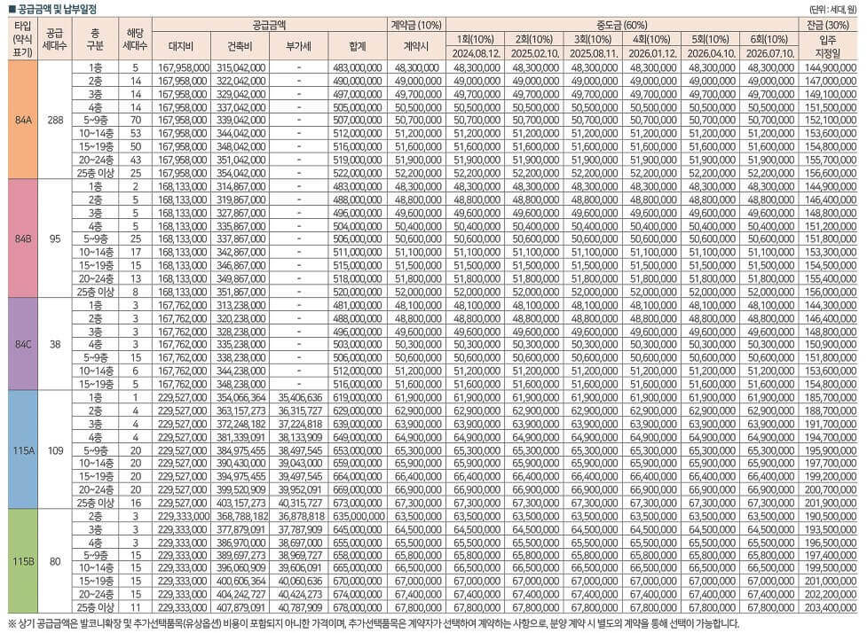
분양가 - 84타입 5억 이하 분양
분양가는 84 기준으로 최저 4억 8천 ~ 5억 3천 정도, 115는 6억 2천 ~ 6억 8천만 원 선입니다. 층수와 위치, 타입에 따라서 같은 평수라도 분양가 차이가 있으며, 발코니 확장 비용과 유상 옵션 비용은 별도입니다.
발코니 확장 금액은 84는 330만 원 ~ 460만 원, 115는 480만 원 ~ 511만 원 선입니다. 최저로 잡았을 때 84는 5억 이하로 가능하고 115는 6억 3천 정도로 예상할 수 있습니다.


지난 12월 청약을 마감한 검단지역의 제일풍경채 4차는 1.96대 1의 경쟁율을 보였지만 1월 9일 마감한 중흥 S클래스는 38.5대 1의 상반된 경쟁율을 보였습니다. 제일풍경채 3차 분양 결과 귀추가 주목됩니다.
분양가는 인근 신축 아파트 시세와 비교해 보는 것으로 평가할 수 있는데요, 2022년 완공한 대광 로제비앙과 힐스테이트가 4억 6천 ~ 8천 선의 매물을 보이고 있습니다.
주변 입지와 모델하우스
검단 제일풍경채 3차는 도보 이용이 가능한 초등학교(예정)와 중학교, 인천 1,2호선의 연장과 신설역 설치 등의 편리한 환경을 갖고 있습니다. 상업 특화 거리와 주변의 근린공원, 수변공원 역시 입지 환경의 장점이 되고 있습니다.

● 단지 앞 초등학교 건설이 예정되어 있는 초품아 아파트
● 문화공원, 근린공원 등의 주변 환경
● 단지 앞 수변형 상업 특화거리
● 인천 1호선, 2호선 연장과 신설역 설치 예정으로 역세권 교통망
제일 풍경채 3차의 모델하우스는 온라인으로도 확인 하실 수 있습니다. 직접 방문하실 분은 먼저 전화문의 후 이용하시기 바랍니다.
● 모델하우스 위치 : 인천 서구 완정로 133번길 1
● 문의 : 1533-052
이상으로 인천 검단 신도시의 제일풍경채 3차 분양에 대해서 알아봤습니다. 검단 신도시 내에서도 입지가 좋은편이고 광역 교톻호재가 많은 점 등은 호재로 작용하겠으나, 요즘 부동산 분위기의 여팍가 어떻게 작용할지 미지수 입니다. 현명한 판단 하시기 바랍니다.